首页
妇联简介
新闻资讯
图片新闻
妇工要闻
公告通知
各地动态
重点工作
家庭建设
基层妇联组织建设
巾帼风采
党风廉政建设
维权工作
新时代文明实践
统一战线
网上妇女之家
维权驿站
妇联暖“新”码
'好家风·爱黄石'视频
当前位置:
首页
>
新闻资讯
>
公告通知
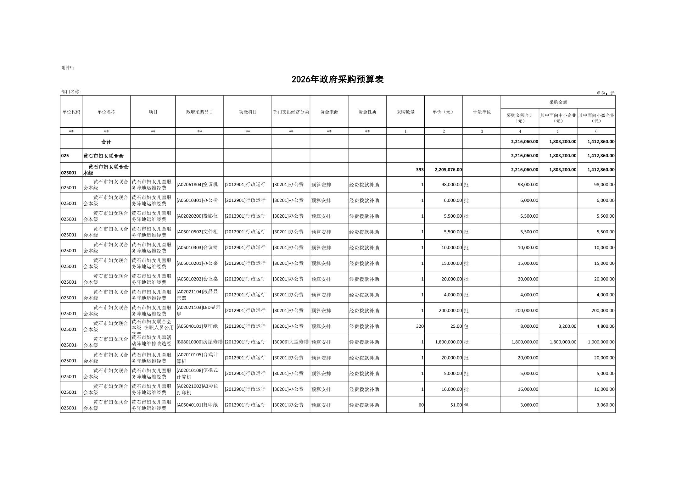
黄石市妇女联合会2026年部门预算公开
发布时间:2026-02-02 来源:黄石市妇女联合会